taumode: Beyond Cosine Similarity on the CVE dataset
You can find arrowspace in the:
- Rust repository âȘïž
cargo add arrowspace - and Python repository âȘïž
pip install arrowspace
ArrowSpace was exercised on a multiâyear (1999 to 2025) CVE corpus (cve.org) using a domainâadapted (fine-tuned) encoder and the builtâin spectral search modes to evaluate longâtail retrieval quality against cosine similarity baselines.
The run uses the ArrowSpaceBuilder API and the same query pathway for cosine, hybrid, and taumode (Ï=0.62, lower taumodes currently in test; Ï=0.22 looks even more promising), ensuring identical preprocessing and kâselection across modes.
TLDR; taumode confirmed itself as a similarity score that can outperform geometric similarity scores by encoding edgewise graphsâ topological characteristics into a synthetic linear index as described in its foundational paper. This has been demonstrated on the Common Vulnerabilities and Exposures dataset.
Why this dataset matters
The loader is configured to traverse CVE JSON files across years 1999 to 2025, capturing decades of vulnerability language, shifting CWE taxonomies, and divergent scoring vectors in one benchmarkable corpus.
For this specific run, 310,841 CVEs were parsed from the provided tree, yielding 384âdimensional embeddings and a realistic mix of classical bugs and modern webâcentric issues, which is an ideal stress test for tail behavior in similarity search.
- Time range parameterization START_YEAR=1999 and END_YEAR=2025 guarantees coverage alignment with modern feeds while allowing reproducible slices for future runs.
- The extracted text blends titles, freeâtext descriptions, CWE labels, CVSS vectors, and affected product strings to approximate real analyst queries.
Metric: Average NDCG@10
The script defines NDCG@k by first treating one ranking as a reference and assigning graded relevance to its topâk as (k-i) for rank (i), then calling sklearnâs ndcg_score over the predicted ranking after normalizing prediction scores.
Average NDCG@10 is computed by evaluating each queryâs NDCG@10 and then taking the mean across queries, reported for âHybrid vs Cosineâ and âtaumode vs Cosineâ comparisons.
- Reference order is cosine; predicted lists are hybrid (Ï=0.8) and taumode (Ï=0.62), which isolates the spectral contribution while keeping identical candidate pools.
- Normalisation of predicted scores before NDCG prevents scale artifacts from inflating gains, preserving rankâquality interpretation at cutâoff (k=10).
Technical run details
The builder consumed 310,841 items with 384 features and produced a graph whose search procedure returned consistent topâk across modes, enabling likeâforâlike metric computation.
Endâtoâend ArrowSpace build time was ~2225 seconds on this snapshot (local machine, 12 cores, limited RAM), including array conversion, validity checks, and λ precomputation.
- The run issued three analystâstyle queries and executed identical searches with Ïâ{1.0, 0.8, 0.62} to collect correlation,
NDCG@10, and tail statistics per query. - Embedding generation confirmed shape (310841, 384), and queries were encoded with the same model to preserve geometry between build and search.
- Full print of the logging here.
Key run facts
| Aspect | Value | Notes |
|---|---|---|
| Corpus window | 1999â2025 | Yearârange parameters in the loader |
| Items Ă Features | 310,841 Ă 384 | Embedding shape after encoding |
| Build time | ~2225 s | `ArrowSpaceBuilder.build(...)` timing on 12 cores CPU |
| Avg NDCG@10 (Hybrid vs Cosine) | 0.9988 | Mean across 3 queries |
| Avg NDCG@10 (taumode vs Cosine) | 0.9886 | Mean across 3 queries |
| Avg Tail/Head ratio (Cosine) | 0.9114 ± 0.0463 | Higher is better tail quality |
| Avg Tail/Head ratio (Hybrid) | 0.9394 ± 0.0340 | Consistent uplift over cosine |
| Avg Tail/Head ratio (taumode) | 0.9593 ± 0.0259 | Best longâtail stability in this run |
What the numbers show
Across all three queries, Ï<1.0 modes preserve nearâperfect agreement with cosine in the head while delivering stronger scores in ranks 4â10, with taumode posting the highest Tail/Head ratio and the lowest tail coefficient of variation.
Perâquery NDCG@10 for âtaumodeâ (Ï=0.62) against âCosineâ ranges from 0.9754 to 0.9953, and the average settles at 0.9886, indicating head alignment with controlled diversification in the tail. So we see that for these three particular queries taumode lose a little in mean NDCG@10. On the other hand:
- Tail/Head ratio improves from 0.9114 (Cosine) to 0.9593 (taumode) on average, quantifying better quality and stability for longâtail recommendations.
- Rankâorder correlations remain high, confirming that spectral modes reâweight rather than disrupt, which is desirable for analyst trust and auditability.
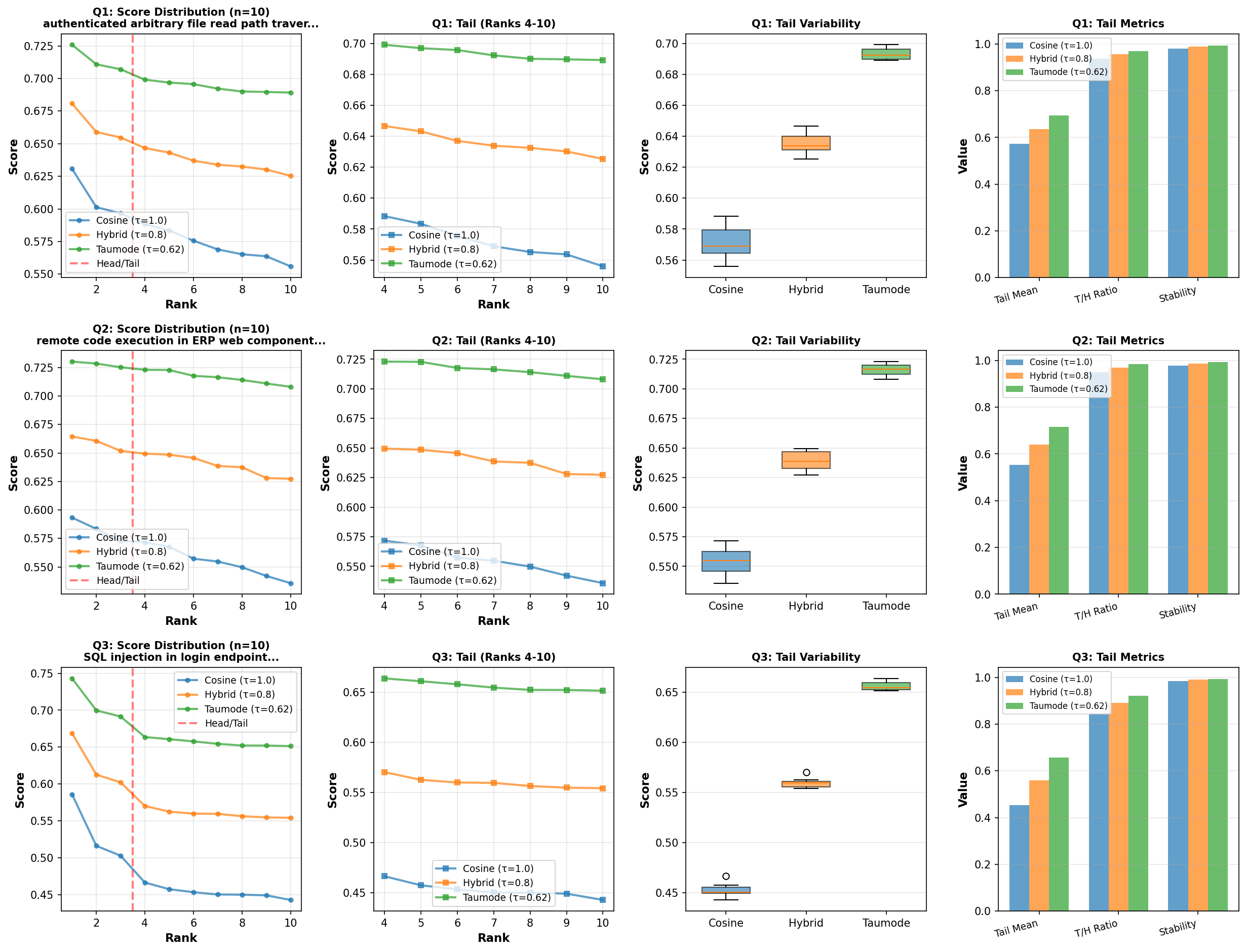
We can see below how taumode acts as a kind of âtemperatureâ slider defining the trade-off between top-1 and top-k quality of results but taumode outperforms cosine similarity even on top-1 result according to the adopted score (as displayed in figure 2. You can check the score design in the code).
Diagrams
Three queries have been run according to the experiment as designed above:
- âauthenticated arbitrary file read path traversalâ,
- âremote code execution in ERP web componentâ,
- âSQL injection in login endpointâ.
These have been passed through the fine-tuned embeddings model, their taumode computed with the GraphLaplacian as generated from the corpus and searched via the pre-built index.
Bar series
The bar series compares topâ10 score profiles for the three modes across the queries, and the tail panel contrasts longârank dispersion, stability, and headâtoâtail balance.

Check the scale, taumode (green on the right) at 0.62 has a ~15% better score than cosine on the three queries.
Scores comparison
This set of diagrams compare the queries resultsâ tails.

As you can read, taumode outperforms in any top-k, demonstating relevant increased tails quality. The curve of the quality decay from top-1 to top-10 moves from something that looks for cosine like an asymptotic relation to a more linear relation for taumode. This represents visually the avoided drop in tails quality.
Why this is exciting
The combination of high âAverage NDCG@10â and materially higher âTail/Head ratiosâ suggests taumode can surface relevant alternatives beyond the very top ranks without sacrificing head fidelity, which is precisely what taumode was designed for. This experiment demonstate the effectiveness of taumode on a real dataset application.
Because the dataset spans two decades of diverse CWE and CVSS phrasing, robustness in the tail indicates resilience to language drift and domain shift, a critical property for operational cyberâthreat triage.
This aligns with the objectives of a database engine based on ArrowSpace:
- What if we can pass to LLMs documents beyond geometrical relations for more accurate in-context learning? This is what taumode is for.
- What if we can search the space of documents using and index that incorporates quality of relations? This is what taumode-aware search makes possible.
- What if we can compare your dataset with existing datasets and with others in your company? This is what the spectral analysis enabled by taumode is meant to deliver.
I am working on a such database engine at www.tuned.org.uk please consider sponsoring my research.
Usage at a glance
A great feature is that after it has been computed, the index can be stored and reused until the spectral signature decay (further studies are necessary to understand the resilience of the spectral signature in presence of new datapoints in the original dataset but considering that the index is built on the invariants generated by the Laplacianâs edgewise computation, it is relatively safe to assume that it will take ~10â” new outliers to invalidate the spectral singature; that is quite a good tolerance).
- Build with
ArrowSpaceBuilderon encoder outputs and persist the artifact for reuse across Ï modes to support applesâtoâapples comparisons. - Run the threeâmode search for shared topâk, compute
NDCG@10against cosine, and log tail statistics to track longârank quality over time. - More comparative tests can be run to sweep the space of taumode (preliminary tests suggest that âAverage Tail/Head Ratiosâ for taumode (Ï=0.22) is 0.9824 ± 0.0064)
Next steps
- Expand ingestion to larger CVE slices and additional queries to validate the observed tail advantage statistically at scale.
- Add automated regression checks on Average NDCG@10 and Tail/Head ratio to protect longâtail quality as parameters evolve.
- Build a storage layer for
parquetfiles using Apache Arrow - Go GPU-enable
Interested in learning more? Whether youâre evaluating ArrowSpace for your data infrastructure, considering sponsorship, or want to discuss integration strategies, please check the Contact page.
Please consider sponsoring my research and improve your companyâs understanding of LLMs and vector databases.
Book a call on Calendly to discuss how ArrowSpace can accelerate discovery in your analysis and storage workflows, or discussing these improvements.